前回の(1)では現在考えられている「宇宙のはじまり」と、その発端に計算不能の「特異点」があることを紹介した。
計算不能ではまずいので、今回は「特異点」を避けるためにホーキング博士が考案した「虚数時間」と、「無境界仮説」について解説していく。
途中で「光速度を超えられない仕組み」 についても説明してみたい。
まずは「虚数時間」から(虚時間とも言う)。
その前に、この記事は中学生でもわかる解説を目指しているので、中学校では習わない「虚数」について説明しておこう。
「虚数」とは「実数」以外の数である。・・・この説明ではちっともわからない。
でも「実数」は中学生で習うはずだ。
「実数」とはどんな数か。
「1,2,3・・・」のような「自然数」(正の数)に、「0」と「-1,-2,-3・・・」のような「負の数」を加えたものが「整数」。
「整数」と「1/2,1/3・・・」のような「分数」を加えたものが「有理数」。
そして円周率π(3.1415・・・)や2の平方根√2(1.4142・・・)のように少数点以下が無限に続いていく「無理数」と「有理数」をあわせたものが「実数」だ。
それでは「実数」以外の数である「虚数」とは?
簡単に言えば2乗すると-1になる数だ。
なお虚数の1乗、つまり虚数1はアルファベットで「 i 」と書く。 i2 = -1になり、i の平方根は√ i =√-1になる。
そして「実数」と「虚数」をあわせた数を「複素数」と言い、「複素数」ですべての数をカバーする。
さて、空間は縦・横・高さの3次元で出来ている。
アインシュタインは特殊相対性理論を考案するにあたり、「時間」という新たな次元を1つ加えて、「4次元時空」を舞台にした。
さらに時間を「絶対的なもの」と特別視せず空間と同じように扱い、「絶対的なもの」はむしろ「光の速度」で、時間や空間は速度によってのびたり縮んだりするものと考えた。
※詳しくは「時間が遅くなる仕組みとは?」を参照。
4次元時空を図にしたのが「光円錐(こうえんすい)」(wiki)という時空図だ。

光円錐
光円錐の縦軸は過去から未来へと流れる「時間(t)」を表わしている。
2つの円錐を逆さまにしてくっつけた砂時計のような形をしており、下の円錐が「過去の領域」を、上の円錐が「未来の領域」を、2つの円錐のくっついたところが「今」を表わしている。
「今」と垂直に交わっている横軸は「空間」を表しており、実際には3次元だがこの図では1次元省略して2次元の平面(x,y)で書いている。
この図が光円錐と呼ばれる理由は、上下2つの円錐が光の移動する軌跡を表わしているからだ。
光円錐をもう少しシンプルにしてみよう。

この図では横軸の「空間」を2次元からさらに1次元に減らして線(x)で書いている。
だから円錐ではなく2つの三角形が逆さまにくっついた形だ。
上の三角形は未来の領域、下の三角形は過去の領域で、それぞれの三角形をはさむXの黄色い線は、光が移動する軌跡(光の世界線という)を表している。
光の速さは約30万km/秒だから、光が1秒間に進む距離30万kmを” 1 “とすると、横軸(x)の正の方向に光が” 1 “進めば、時間は縦軸(t)の正の方向に” 1 “進むので、光の世界線は45度傾いた直線になる。
この光円錐で重要なのは、横軸(x)の空間は左右の2方向に移動できるが、縦軸(t)の時間は過去から未来への1方向にしか進むことができないことだ。
さらに、われわれはこの光の世界線で挟まれた三角形の内部(オレンジ色の部分)しか移動できない。
【光速度を超えられない仕組み】
例えば光の速度と同じスピードで飛ぶことができるロケットがあったとしよう。
静止している人から見るとこのロケットは、どれくらいの長さに見えるだろうか?
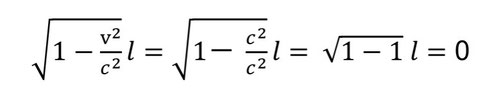
動いているものの長さは光の速さに近づくほど縮んでいくことを「時間が遅くなる仕組みとは?」で説明しているが、ここで紹介した「ローレンツ収縮」の式( l はロケットの長さ、vは速度、cは光速度)を使って計算すると

つまり、長さが0になってしまう。
つまり光速度で飛ぶということは、長さがなくなってしまうのだ。

光の速さで飛ぶと、長さが0になる!
これが何者も光の速度を超えられない理由だ。
では光の世界線の外側のグレーの部分は何なのか?
これは因果律をもたない領域と呼ばれる。
これがまさに虚数の領域だ。
ちょっと待てよ?
光円錐の横軸(x)は「空間」だから、空間は「虚数」なのか?
不思議な感覚におちいってしまうが、時間を「実数」にした場合、「空間」は虚数になる。
数式で説明しよう。と言っても文系の方、ご安心を。
使うのは中学校で習うピタゴラスの定理(wiki)という簡単な式だ。
光速をc、時間をtとすると、光がt時間に進む距離は(距離=速度×時間から)「ct」と表せる。
また、3次元空間の3つの方向(x,y,z)に進んだ距離をsとすると、
1次元(x)の場合、進んだ距離sは、ただの直線になるのでs=xだが、
2次元(x,y)の場合はピタゴラスの定理から

s2 = x2 + y2
3次元(x,y,z)では、

s2 = x2 + y2 + z2
になる。
だから、3次元空間(x,y,z)に1次元の時間距離(ct)を足したものが4次元時空の距離になりそうだが、光の速度で飛ぶロケットの長さは0になることから、
ct = 0かつ、x2 + y2 +
z2=0だから
c2t2 = x2 + y2 + z2より
c2t2 – x2 – y2 – z2 = 0
ほら、「空間(x,y,z)」すべてにマイナスがついてしまった。
2乗してマイナスになるのは虚数だから、「時間」を「実数」にすれば「空間」は「虚数」になることがおわかりいただけたろう。
虚数は英語で「Imaginary number(イマジナリー・ナンバー)」、つまり想像上の数字という意味だが、われわれの空間は実在しない幻想なのだろうか?
3次元空間(x,y,z)に1次元の時間距離(ct)を足した4次元時空を進む距離s(4次元時空距離という)を計算する式を正しく書くと、
s2 = c2t2 – x2 – y2– z2
になる。
だが、「空間」が虚数というのはわれわれの感覚となじめないので、時間距離「ct」をマイナスにすると、
s2 = x2 + y2 + z2 – c2t2
勘のするどい方はここで気がついたかもしれない。
くどくど説明してきたが、ホーキング博士の「虚数時間」というアイデアがどこからきたのか?
「t」が虚数であれば、t2 = -1 なので最後の「ct」がマイナス×マイナスでプラスとなり、
s2 = x2 + y2 + z2 + c2t2
2次元や3次元の式と同じ形になって、すっきりする。
しかもこの式のように「時間」と「空間」の違いがなくなれば、「時間」を「空間」と同じようにとらえることができ、2方向に移動が可能になるのだ。
※光円錐の横軸にとった「空間」は左右にどちらにも移動できることを思い出して欲しい。
だが、われわれの時間は「実数」で1方向にしか進まない。
ホーキング博士は、この「虚数時間」を光円錐に組み込み、宇宙がはじまる前の時間としてとらえた。

虚数時間を加えた光円錐
横軸を空間(x)から虚数時間(it)に入れ替えている。
つまり宇宙がはじまる前は、「時間」も「空間」と同じように自由に移動できる「空間と時間」の「境界」を持たない世界だったというのだ。
これをホーキング博士は次のような球の表面に例え、「境界」を持たないことから「無境界仮説」と名付けた。

無境界仮説における虚数時間の図
この球を地球に見立てて下の端に南極をとり、上の端に北極をとると、虚数時間は南極点からはじまり北極点まで進む。
地球のように横の円周を「緯度」、縦の円周を「経度」とすると、
「緯度」は、南極点からはじまって膨張していき、やがて赤道で最大になり、しぼんで北極点で終わりを迎える「虚数時間の大きさ」、「経度」は南極点からはじまり、さまざまなコースを通って北極点で終わりを迎える経路の集合、「虚数時間の歴史」の集合と考える。
さらにホーキング博士によれば、虚数時間のはじまりである南極点は常にこの球の真下にあるわけではなく、真下から右へ10度ずれたとこにあってもかまわないという。
※地球の南極点や北極点も誕生からずっと同じ場所にはなく、動いている。
つまり虚数時間では実数時間のような「はじまり」が特定されない。
従って計算不能の特異点からはじまったと考える必要がない。
無境界の虚数時間から実数時間へなめらかに移動したのが、ホーキング博士の考える宇宙の「はじまり」なのだ。

左の宇宙は鋭い1点の特異点からはじまっているのに対し、右の宇宙はお椀のように丸くなっており、はじまりの境界がないことがわかるはずだ。
こうしてホーキング博士は計算不能な特異点を考える必要のない「無境界仮説」として「宇宙のはじまり」を説明した。
次回はいよいよ「ホーキング博士の最後の論文」の最大のテーマである「永久インフレーション」からのスムーズな離脱について解説していく。
-----------
次回の「ホーキング博士の最後の論文解説(3)」の鍵となる「ホログラフィー原理」について少しだけ紹介しよう。
このサイトでは何度もとりあげているが、まだ知らない方はきっと驚くはずだ。
「空間」は実在せず「幻想」かもしれない・・・今回の記事でも触れたSFみたいなアイデアが、最新の物理学で真剣に検討されているのだ。
次回もぜひご覧ください。

